전체 글 50

[기초통계학] 확률변수

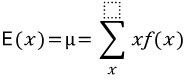
확률변수란 확률 실험을 통해 얻어지는 기본결과 각각에 수치를 대응시킨 것을 말한다. 따라서 표본공간 S에서 정의된 실함수는 X:S->R 이다. 확률변수의 종류 1. 이산확률변수: 취할 수 있는 가능한 값이 유한개이거나 셀 수 있는 확률변수 -이산확률분포: X가 취할 수 있는 서로 다른 수치를 그것에 대응하는 확률과 함께 적어 놓은 것 ex) 동전던지기 확률분포 x H F f(x) 1/2 1/2 -확률질량함수: x의 값을 매개변수로 하여 해당하는 확률 값을 계산하는 함수로써 f(x)=P(X=x) 로 정의된다. -기댓값: 으로 정의되며 위표에서 앞면이 한번 나올 확률은 0 x 1/2 +1 x 1/2 = 1/2 로 계산된다. 기댓값은 임의의 상수에 대하여 E(ax+b)= aE(x)+b 로 분리된다. 또한 E(..

Computer/Statistics 2021.12.01

[EXCEL] 데이터를 연결해주는 VLOOKUP 함수 기초

데이터를 관리/운용하는 업무를 하면서 SQL을 메인 기술로 다루고 있다. SQL자체는 어렵지 않지만 역시 진입문턱이 있으며 사용할 수 있는 환경이 한정적이다. 그러나 회사원이라면 IT관리자 외에도 모든 사람이 데이터를 다룬다. 이를 다룰 때 가장 강력한 툴은 역시 EXCEL이다. 오히려 SQL을 짜는 것보다 EXCEL의 기능을 활용하는 것이 훨씬 효과적인 경우가 있다. 이전에 소개했던 글 중에서 ROLLUP/GROUPING의 경우 오히려 EXCEL의 피벗테이블을 사용하는 게 편할 수 있는 것처럼. 그런 생각을 한김에 업무중에 가장 많이 사용한 EXCEL 함수도 소개를 해보려고 한다. ​ 그 중 가장 많이 사용한 함수는 VLOOKUP 함수로 정해진 범위속에서 기준 데이터와 일치하는 값을 찾아 원하는 열을 ..

Computer/Database 2021.12.01

[비트코인 트레이딩 프로그램 #2] 5분봉 3틱룰 추상화

암호화폐 트레이딩 프로그램을 만든다고 일단 포스팅은 했는데..그래서 어떻게? 코린이에 약심장이라 단타치려고 하면 손이 벌벌 떨리는 내가 대체 어떤 알고리즘을 적용할까 둘러보던 도중 승률이 좋다고 하는 '5분봉 3틱룰' 을 접했다. 나씨라는 분이 해당 방법으로 500만원에서 31억까지 돈을 불렸다고 하는데(진짜인지는 몰라도) 다른 코인 커뮤티니를 보아도 승률이 좋고 간단한 방법이라고 하여 유튜브를 몇번이고 돌려보고 차트도 시간날때마다 열어보고 있다. 1. 5분봉 3틱룰이란? 상승이 온 뒤 조정이 왔을 때 바닥을 찾는 방법 ​ 2. 응용. 음봉 중 어디가 바닥일까? 5분이 다 지나서 다음봉이 갱신되기 직전에 차트모양을 보고 진입여부를 판단한다 3. 몇분 차트 사용? 5분봉과 15분봉을 사용. 추세가 더 길게..

Computer/Python 2021.11.30

[비트코인 트레이딩 프로그램 #1] 업비트 API 신청

암호화폐를 투자를 시작하면서 쥐꼬리 같은 수익을 얻으며 안 잃은게 어디야 자위하고 있지만 블로그를 돌아다니며 돈 잘버는 분들을 보면서 매일 부러워하고 있다. 그 분들은 당연히 나보다 공부도 많이 하고 더욱 열과 성을 다해 투자를 하고 있으니 많은 돈을 버는게 당연하지만 그렇다고 입만 떡벌리고 대다나다..하며 지켜만 볼 수 없는 노릇이니 조금의 정보라도 얻으며 나만의 투자방식을 만들어가고 있다. 그러던 중 내가 그나마 투자고수들 보다 할 수 있는게 무엇이 있을까 생각하던중.. 아 나 개발자였지? 라는 생각과 함께 암호화폐 자동 트레이딩 프로그램을 짜보려고 한다. ​ 사실 개발자라고 해봤자 남이 짠 코드를 읽고 해석하는 정도의 실력이라 대단한 프로그램이 나올 가능성은 0에 수렴하겠지만, 좋은 코드를 잘 이어..

Computer/Python 2021.11.29

[타베로그 #5] 도쿄 소바 맛집, 왜 소바에 라유를 넣을까? (나제 소바니 라유오 이레루노카)

이름이 참 이상한 소바 가게가 있다. "왜 소바에 라유를 넣는걸까" 라는 가게로 도쿄 전역에 위치한 소바 체인점이다. 라유는 우리말로 고추기름으로 한국에서는 볶음밥에만 주로 넣어서 먹었었는데 일본에서는 면과 함께 먹는 경우가 꽤 있는 것 같다. (지난 타베로그 아부라소바에도 라유와 스(고추기름과 식초)를 넣어서 먹도록 추천하고 있었다.) 본점은 이케부쿠로에 위치하고 있으며 나는 이케부쿠로에서 야마노테선을 타고 한 정거장 떨어진 오오츠카역에 있는 점포에 들렸다. 역에서 나오면 바로 눈에 들어오는 건물의 모퉁이에 위치하고 있어 접근성은 매우 좋았다. 우리나라 음식으로 비교하면 아마 왜 삼겹살을 초장에 찍어먹을까 정도가 되려나. 외관도 그렇고 내부도 면요리집치고 매우 깔끔하게 되어있으며 혼자 먹기에도 부담없는..

Tokyo/Tabelog 2021.11.28

[SQL] RANK / DENSE_RANK /ROW_NUMBER (순위함수 그리고 최신데이터 출력 방법)

RANK(), DENSE_RANK(), ROW_NUMBER() 각각 순위/순서를 반환하는 함수이지만 결과는 조금씩 다르다. RANK는 동점자의 있는 경우 동일 순번을 리턴, 다음 순위는 다음 숫자를 하나를 건너뛴다. (1, 2, 2, 4, 4, 6, .. ) DENSE_RANK는 동점자의 경우에 동일한 순번을 리턴, 다음 순위는 다음 숫자부터 진행이 된다 (1, 2, 2, 3, 3, 4, .. ) ROW_NUMBER의 경우 동점자가 있는 경우에 정렬이 된 순서대로 순서를 반환한다. (1, 2, 3, 4, 5, 6, 7, ...) ​ 아래와 같은 데이터가 있다고 가정해보자. 고객 판매금액 1 24000 2 17000 3 17000 4 14000 5 13500 6 13500 7 13000 SELECT 고객,..

Computer/Database 2021.11.22

[SQL] SUBSTR / INSTR / CONCAT / TRIM / LPAD&RPAD / REPLACE (한 눈에 보는 문자열 함수 모음집)

언제든지 한 눈에 볼 수 있는 문자열을 다루는 SQL 기본 함수 모음집. 1. SUBSTR(컬럼, 시작위치, 문자수) : 컬럼에서 필요한만큼 문자수를 잘라서 가져옴 SELECT SUBSTR('쿼리로 문자열 다루기' , 5, 3) FROM DUAL > 문자열 SELECT SUBSTR('쿼리로 문자열 다루기' , 5) FROM DUAL > 문자열 다루기 SELECT SUBSTR('쿼리로 문자열 다루기' , -3, 2) FROM DUAL > 다루 정규표현식도 사용이 가능하다. SELECT REGEXP_SUBSTR('문자열', '찾을내용 정규식', 시작위치, 몇번째) FROM DUAL; 예를 들어 컬럼가장 처음부터 IP주소를 찾아서 가장 먼제나오는 내용을 리턴하는 경우 SELECT REGEXP_SUBSTR(CO..

Computer/Database 2021.11.20

[SQL] ROLLUP/GROUPING 깔끔한 소계/합계 보고서만들기

업무중에 재밌었던 쿼리를 하나 정리하려고 한다. 기초쿼리이긴 하지만 처음봤을 때는 뭔가 싶었던 쿼리문이다. 먼저 ROLLUP을 이해하는 것이 필요하다. ROLLUP은 함수에서 묶인 컬럼을 기준으로 소계/합계를 구할 수 있도록 도와준다.(컬럼순서중요) SELECT COL1, COL2, SUM(COL3) FROM TABLE GROUP BY ROLLUP(COL1,COL2) 위 쿼리는 아래와 같이 합계를 출력할 것이다. A-1 합계, A-2 합계, A 전체합계 B-1 합계, B-2 합계, B 전체합계 A,B 전체합계 COL1 COL2 SUM(COL3) A 1 500 A 2 600 A 1100 B 1 300 B 2 200 B 500 1600 ROLLUP함수는 GROUPING 함수와 함께 사용하여 깔끔하게 합계/소..

Computer/Database 2021.11.19

[기초통계학] 확률 / 조건부 확률

확률이란 어떤 일이 일어날 가능성의 정도를 수치로 나타낸 것을 의미한다. 확률은 표본을 바탕으로 모집단에 대한 결론을 이끌어내는 데 논리적인 근거가 된다. 실험이란 두 가지로 나눌 수 있다. 1) 결정적 시험: 실험 조건이 똑같으면 항상 같은 결과가 나오는 실험 2) 확률적 실험: 실험 조건을 똑같이 하여도 매번 결과가 달라지는 실험 -> 여기서 얻어지는 각 결과들에 대한 가능성을 확률을 통해 설명 확률에서 중요 용어 -표본공간(S): 확률실험에 의하여 나타날 수 있는 모든 결과들의 집합, 개개의 결과들을 표본 공간의 기본 결과 또는 원소라고 한다. ex) 주사위를 던져셔 나올 수 있는 수의 표본공간 S={1,2,3,4,5,6} -사건: 특정한 성질을 지닌 기본결과들로 이루어진 모임으로 서 표본공간의 부..

Computer/Statistics 2021.11.19

[타베로그 #4] 도쿄 함박 스테이크 맛집, Grill K

일본의 함바그 가게들은 각자만의 특색이 있어 재미있다. 그럼에도 함바그의 기본은 역시 촉촉함에 있지 않나 생각한다. 이러한 기준을 두고 봤을 때 Grill K는 기본에도 충실한, 그리고 기호에 따라 다양한 맛을 즐길 수 있는 맛있는 함바그 가게다. 동글동글한 함바그와 다르게 무심하게 반죽을 익힌듯한 모양이다. 함바그와 함께 한가지 소스를 고를 수 있는데 데미그라스, 그리고 마늘간장은 역시 잘 어우러졌다. 살짝 짭쪼름하다 싶을때 같이 나오는 야채를 한입먹으니 한끼가 순식간이었다. 가격은 퀸사이즈(260g)가 1800엔정도 이며 이 정도는 먹어야 잘 먹었다는 느낌이 들 정도의 양이다. 그리고 여름에 방문했을 때는 함바그 이전에 냉스프를 주는데 이게 또 별미다. 식사의 전체적인 발란스가 좋아서 한끼 뚝딱할 수..

Tokyo/Tabelog 2021.11.18