Computer/Statistics 5

[기초통계학] 확률변수

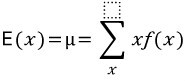
확률변수란 확률 실험을 통해 얻어지는 기본결과 각각에 수치를 대응시킨 것을 말한다. 따라서 표본공간 S에서 정의된 실함수는 X:S->R 이다. 확률변수의 종류 1. 이산확률변수: 취할 수 있는 가능한 값이 유한개이거나 셀 수 있는 확률변수 -이산확률분포: X가 취할 수 있는 서로 다른 수치를 그것에 대응하는 확률과 함께 적어 놓은 것 ex) 동전던지기 확률분포 x H F f(x) 1/2 1/2 -확률질량함수: x의 값을 매개변수로 하여 해당하는 확률 값을 계산하는 함수로써 f(x)=P(X=x) 로 정의된다. -기댓값: 으로 정의되며 위표에서 앞면이 한번 나올 확률은 0 x 1/2 +1 x 1/2 = 1/2 로 계산된다. 기댓값은 임의의 상수에 대하여 E(ax+b)= aE(x)+b 로 분리된다. 또한 E(..

Computer/Statistics 2021.12.01

[기초통계학] 확률 / 조건부 확률

확률이란 어떤 일이 일어날 가능성의 정도를 수치로 나타낸 것을 의미한다. 확률은 표본을 바탕으로 모집단에 대한 결론을 이끌어내는 데 논리적인 근거가 된다. 실험이란 두 가지로 나눌 수 있다. 1) 결정적 시험: 실험 조건이 똑같으면 항상 같은 결과가 나오는 실험 2) 확률적 실험: 실험 조건을 똑같이 하여도 매번 결과가 달라지는 실험 -> 여기서 얻어지는 각 결과들에 대한 가능성을 확률을 통해 설명 확률에서 중요 용어 -표본공간(S): 확률실험에 의하여 나타날 수 있는 모든 결과들의 집합, 개개의 결과들을 표본 공간의 기본 결과 또는 원소라고 한다. ex) 주사위를 던져셔 나올 수 있는 수의 표본공간 S={1,2,3,4,5,6} -사건: 특정한 성질을 지닌 기본결과들로 이루어진 모임으로 서 표본공간의 부..

Computer/Statistics 2021.11.19

[기초통계학] 중심측도, 변이측도 (표본 / 분산 / 편차 )

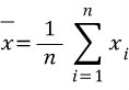
시각화에서 파악된 특징을 특징을 수치로 나타내는 것도 필요하다. 자료의 중심측도는 자료의 중심위치를 나타내는 값이다. 반대로 자료의 변이측도는 자료의 흩어짐을 나타내는 값이다. 1. 중심측도 1) 표본평균 : 측정값을 모두 더하여 자료의 개수로 나누어 얻는다. 평균은 자료의 무게중심을 의미한다. 2)표본 중앙값: 자료를 크기 순서로 정리했을 때 가운데 위치하는 관측값이다. 이는 극단값으로 인한 영향이 없다는 특징이 있다. 자료의 개수가 홀수인 경우 중앙 값이 한 개인 반면, 짝수인 경우에는 두 개가 된다. 이 때는 이들의 평균이 된다. ex) 1 2 3 4 5 6 --> 중앙값은 3.5 3)최빈값: 자료들 중에서 가장 출현 빈도가 많은 값 그래프에서 오른쪽으로 꼬리가 긴 경우 최빈값 < 중앙값< 평균 으..

Computer/Statistics 2021.11.18

[기초통계학] 자료의 요약 방법

수집된 자료로부터 새로운 사실이 있는지 첫 번째 단계는 자료를 요약하고 정리하는 것이다. 자료의 종류는 아래와 같이 나눌 수 있다. 범주형 자료: 대상의 범주적 특성을 조사한 값이다. 관측 결과가 몇 개의 범주 또는 항목의 형태로 나타난다. 1) 명목자료: 순위의 개념이 없는 범주형 자료이다. 혈액형이나 성별, 결혼 상태 등이 이에 해당한다. 2) 순서자료: 순위의 개념을 갖는 범주형 자료이다. 학점, 선호도 등이 이에 해당한다. 수치형 자료: 자료 자체가 숫자로 표현되며 숫자 자체가 자료의 속성을 반영한다. 1) 연속형 자료: 연속적인 숫자로 표현되는 자료로 키, 몸무게, 거리 등이 이에 해당한다. 2) 이산형 자료: 이산적인 값으로 표현되는 자료로 교통사고 건수, 결석 횟수 등이 이에 해당한다. 자료..

Computer/Statistics 2021.11.12

[기초통계학] 기본개념

통계학이란 주어진 문제에 대하여 합리적인 답을 줄 수 있도록 자료를 수집하고 정리하며, 이를 통계적 분석이론 및 방법을 통해 신뢰성 있는 결론을 이끌어 내는 방법을 연구하는 과학의 한 분야이다. 따라서 주요 이슈는 다음과 같다. 1) 자료를 수집하는 방법 2) 자료를 분석하는 방법 3) 내린 결론에 대한 객관성을 보장하는 방법 통계학은 조사하고자하는 전체를 관측할 수 없기 때문에 생긴 학문이라고 할 수 있다. 여론조사, 경제, 경영, 의학, 공학 등 분야를 막론하고 통계학은 일상생활에서부터 과학적 연구까지 폭 넓게 사용된다. 신뢰도가 높은 결과를 도출 또는 예측하기 위한 도구로써 통계학이 활용되기 때문에 올바른 자료를 얻는 것이 매우 중요하다. 이러한 자료는 실험을 통해서 얻거나, 조사를 통해 얻을 수 ..

Computer/Statistics 2021.11.11